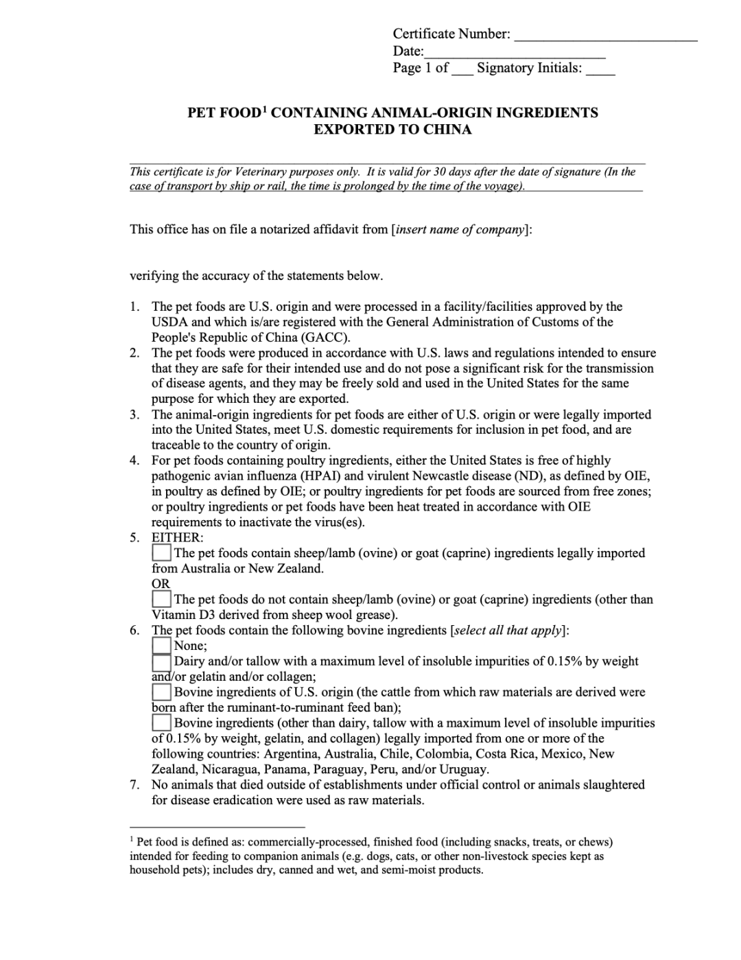
6月3日,美国农业部动植物健康检验局(APHIS)发布了一项新协议,创建了专门用于向亚洲国家出口美国宠物食品的协议,为宠物食品制造商铺平了道路,扩大进入中国市场的机会。

执行官康美国饲料工业协会(AFIA)总裁兼首席执行官斯坦斯·库尔曼说:“近十年来,由于中国对如何进口美国制造的宠物食品和零食的要求不明确和不透明,美国宠物食品制造商在面向中国市场方面一直受到阻碍。中国去除反刍动物起源成分的不科学要求只会使问题更加复杂,迫使美国宠物食品制造商做出昂贵的决定来重新配制其宠物食品。
我们感谢APHIS员工在整个突发公共卫生事件中为保持美国在这项贸易协定中的利益而付出的努力。我们承诺继续通过生产高质量,多样化和营养丰富的食品。我们坚信这也是中国宠物的选择。”
APHIS的新协议将于8月15日生效,新协议旨在为出口含反刍动物成分的宠物食品的美国制造商创造透明度。它还消除了中国以前要求在出口之前提供设施调查表和审核的壁垒,例如中国要求的设施调查表和不必要的审核。此外,该协议还解决了通过宠物食品传播的家禽产品中病原体的潜在风险。
AFIA称这是“两国之间不断取得进展的迹象”,特别是在执行中美之间最近达成的贸易协议的第一阶段方面。
附协议原文链接及截图:
<https://www.aphis.usda.gov/regulations/vs/iregs/products/downloads/ch-pet-food-cert.pdf>

